Báo Điện tử An ninh Thủ đô
An ninh Thủ đô
Trật tự đô thị
Ảnh
Chính trị - Xã hội
Thế giới
Pháp luật
Video
Thành phố thông minh
Văn hóa - Giải trí
Thể thao
Sống ở Hà Nội
Kinh doanh
Danh mục
Trật tự đô thị
Chính trị - Xã hội
Đại hội Đảng
Thế giới
Quân sự
Pháp luật
Thành phố thông minh
Văn hóa - Giải trí
Thể thao
Sống ở Hà Nội
Kinh doanh
Con đường khởi nghiệp
Multimedia
Video
Podcast
Ảnh
Infographic
MEDIA
Video
Podcast
Ảnh
Infographic
Longform
THÔNG TIN THÊM
Cộng tác với ANTĐ
Tra cứu xe
Hotline: 032 9907 579
Sống ở Hà Nội
Đề thi môn Toán kỳ thi tốt nghiệp THPT năm 2021
07/07/2021 16:11
0 bình luận
Quỳnh Chi
Facebook
Twitter
Print
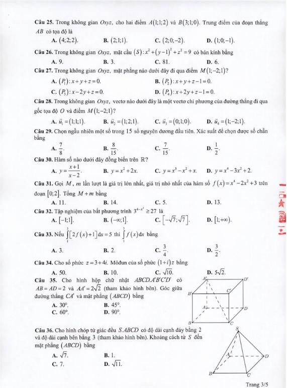
ANTD.VN - Chiều 7/7, các thí sinh bước vào môn thi thứ hai của kỳ thi tốt nghiệp THPT năm 2021 môn Toán, theo hình thức trắc nghiệm, thời gian làm bài 90 phút. Giờ phát đề cho thí sinh là 14 giờ 20, giờ bắt đầu làm bài là 14 giờ 30.
Tin liên quan
Thi tốt nghiệp THPT: Nghiêm ngặt phòng Covid-19 tại những địa phương dịch đang diễn biến phức tạp
Chủ động phòng, chống dịch Covid-19 cho kỳ thi tốt nghiệp THPT
Từ khóa:
#Đề thi môn Toán kỳ thi tốt nghiệp THPT
#kỳ thi tốt nghiệp THPT
Tin cùng chuyên mục
Chiếm trọn vỉa hè, sơn xịt hóa chất, xả thải trước lối vào Vườn thú Hà Nội
Từ câu chuyện bác sĩ cứu người trên phố: Bàn tay bạn cũng có thể hồi sinh một trái tim
Người đứng đầu cơ sở, doanh nghiệp cần nắm chắc quy định an toàn cháy, nổ
Hơn 86.000 cơ hội việc làm tại phiên giao dịch kết nối 10 tỉnh, thành phố
Tiềm ẩn nguy cơ tai nạn giao thông vì đi ngược chiều tại gầm cầu vượt chữ C Phạm Ngọc Thạch
Lao động phổ thông tìm việc làm tại Hà Nội cần chuẩn bị những gì?
Nhiều vụ "ma men" gây tai nạn chết người, cần xử lý nghiêm tài xế vi phạm nồng độ cồn
Tập huấn nghiệp vụ an toàn cháy, nổ tại Tòa chung cư An Bình Tower
Nhiều phường, xã ở Hà Nội đang thiếu trường công lập
Hà Nội: Khen thưởng đột xuất bác sĩ ép tim cứu người giữa phố
Công nhân Việt Nam đổi mới sáng tạo, nâng cao năng suất lao động
Số hóa thành công hơn 330 công trình di tích lịch sử tại Hà Nội
Công nghệ chiến lược nào được Hà Nội ưu tiên phát triển từ nay đến 2035?
Sẽ kiểm tra đột xuất các đơn vị có nhiều phản ánh của công dân trên nền tảng iHanoi
Trải nghiệm ẩm thực đỉnh cao cùng Asia Gourmet Circle
Lộ trình khắc phục vi phạm PCCC tại các phường Bồ Đề, Long Biên và Phúc Lợi
Cam kết lộ trình khắc phục đối với cơ sở không đảm bảo an toàn PCCC
Lan tỏa tinh thần, trách nhiệm bảo vệ môi trường xanh tại cơ quan, đơn vị
Kịp thời cứu 3 người mắc kẹt trong vụ cháy căn hộ chung cư cao tầng
Thí sinh cần lưu ý gì về đề thi tốt nghiệp THPT 2026?
Sự kiện nổi bật
Nhà văn Đỗ Phấn
Nhà văn Nguyễn Ngọc Tiến
Nhà báo Hồ Viết Thịnh
Nhà báo Phạm Trung Tuyến
Nhà văn Phạm Ngọc Tiến
Đọc nhiều
Cầu vượt sông Lừ - Vành đai 2,5: Chấm dứt 10 năm mỏi mòn chờ đợi của người dân
Thông tin về việc “làm hỏng xe máy" người đi lễ tại Phủ Tây Hồ để trục lợi
Hà Nội ngày đi làm đầu năm Bính Ngọ: Lực lượng CSGT hối hả "giữ nhịp" đường phố
Công an Thủ đô nhịp nhàng từng mét vuông đường, mở lối xuân đón người dân quay lại thành phố
Giải quốc gia, quốc tế khoa học kỹ thuật không còn là 'vé' vào thẳng trường đại học