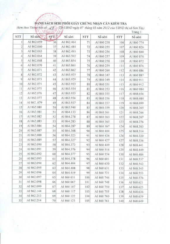
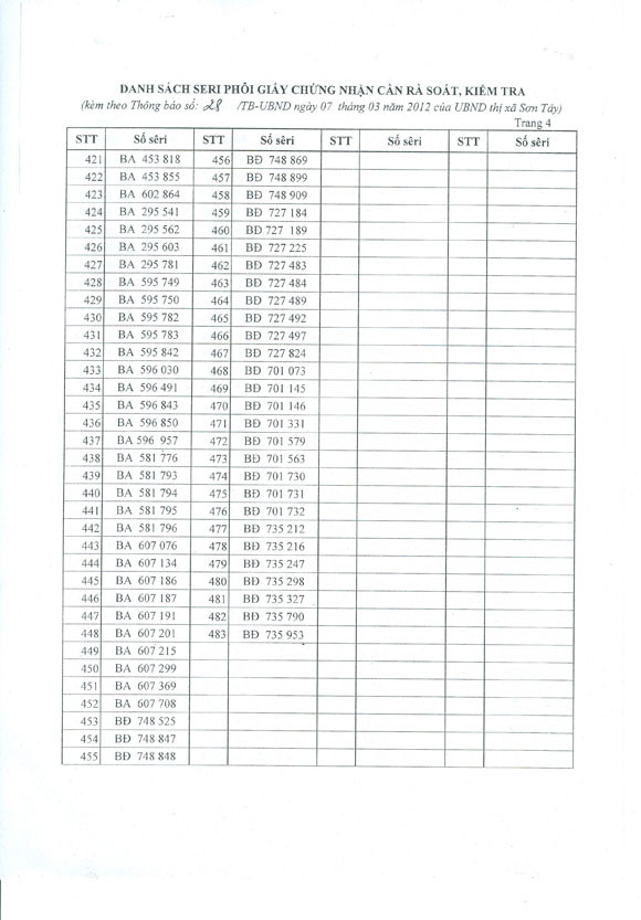
Văn bản này nêu rất cụ thể số xêri của từng “sổ đỏ” nằm trong diện phải dừng giao dịch nhưng không nêu ngày cấp hay tên người được cấp Giấy chứng nhận. UBND thị xã Sơn Tây đề nghị các tổ chức và cá nhân hiện đang lưu giữ các Giấy chứng nhận có xêri như thông báo cần liên hệ với Phòng Tài nguyên - Môi trường thị xã Sơn Tây để được xem xét, giải quyết. Nội dung văn bản này được công khai toàn văn trên trang thông tin điện tử thị xã Sơn Tây và Cổng Thông tin điện tử của Sở TN-MT Hà Nội.
Trước đó, Báo An ninh Thủ đô đã có loạt bài điều tra về việc các cơ quan liên quan của thị xã Sơn Tây đã làm thất lạc hơn 400 phôi “sổ đỏ”. Vụ việc bị phát hiện từ tháng 8-2011 nhưng phải tới đầu tháng 3-2012, sau khi báo chí phản ánh, thị xã Sơn Tây mới chỉ đạo dừng giao dịch đối với 483 “sổ đỏ”.



