Mức phí cao tốc Nhà nước đầu tư từ 900-1.300 đồng/km

ANTD.VN - Theo đề xuất từ cơ quan quản lý đường bộ, mức phí trên 5 tuyến cao tốc do Nhà nước đầu tư sẽ được thu từ 900-1.300 đồng/km/xe tiêu chuẩn.

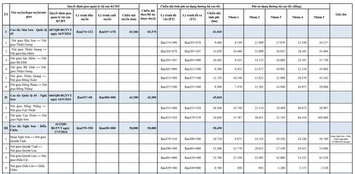
Cục Đường bộ Việt Nam vừa đề xuất Bộ Xây dựng chấp thuận, phê duyệt mức thu phí tại 5 đoạn tuyến cao tốc Bắc - Nam phía Đông do Nhà nước đầu tư để có cơ sở triển khai thu phí sử dụng đường bộ.

Theo Cục Đường bộ Việt Nam, ngày 24/5/2025 Bộ trưởng Bộ Xây dựng đã phê duyệt đề án khai thác tài sản kết cấu hạ tầng giao thông đường bộ các đoạn tuyến đường cao tốc Mai Sơn - quốc lộ 45, quốc lộ 45 - Nghi Sơn, Nghi Sơn - Diễn Châu, Vĩnh Hảo - Phan Thiết, Phan Thiết - Dầu Giây thuộc đường cao tốc Bắc - Nam phía Đông.

Trên cơ sở báo cáo của các Khu quản lý đường bộ, Cục Đường bộ Việt Nam đã rà soát, tổng hợp mức thu phí đường cao tốc đối với phương tiện lưu thông trên các đoạn tuyến, tuyến đường cao tốc đã được Bộ Xây dựng phê duyệt đề án khai thác tài sản kết cấu hạ tầng giao thông đường bộ.

antd-phi-cao-toc.jpg
Mức phí trên 3 tuyến cao tốc có 4 làn xe, không có làn dừng khẩn cấp liên tục

Theo đó, cao tốc Mai Sơn - quốc lộ 45 có chiều dài tính phí thực tế là 61,02km, với mức phí cao nhất với xe nhóm 1 (xe dưới 12 chỗ, xe tải có tải trọng dưới 2 tấn, các loại xe buýt chở khách công cộng) là 54.909 đồng; mức phí cao nhất với xe nhóm 5 (xe tải có tải trọng từ 18 tấn trở lên, xe chở container 40 feet trở lên) là 219.636 đồng.

Cao tốc quốc lộ 45 - Nghi Sơn có chiều dài tính phí là 45,018km, sẽ có mức phí cao nhất với xe nhóm 1 là 40.516 đồng, xe nhóm 5 là 162.065 đồng.

Cao tốc Nghi Sơn - Diễn Châu chiều dài tính phí 50,45km, sẽ có mức phí cao nhất với xe nhóm 1 là 45.405 đồng, xe nhóm 5 là 181.620 đồng.

Cao tốc Vĩnh Hảo - Phan Thiết có chiều dài tính phí 100,618km, sẽ có mức phí cao nhất với xe nhóm 1 là 90.555 đồng, xe nhóm 5 là 362.225 đồng.

Cao tốc Phan Thiết - Dầu Giây có chiều dài tính phí 99km, sẽ có mức phí cao nhất với xe nhóm 1 là 128.700 đồng, xe nhóm 5 là 518.800 đồng.

Như vậy các đoạn tuyến cao tốc: Mai Sơn - quốc lộ 45, quốc lộ 45 - Nghi Sơn, Nghi Sơn - Diễn Châu, Vĩnh Hảo - Phan Thiết có 4 làn xe nhưng chưa có làn dừng xe khẩn cấp liên tục có mức phí 900 đồng/PCU/km (PCU là đơn vị quy đổi theo xe con).

Còn cao tốc Phan Thiết - Dầu Giây là đường cao tốc có 4 làn xe đầy đủ (4 làn xe chạy và 2 làn dừng khẩn cấp liên tục) nên mức phí là 1.300 đồng/PCU/km.

Các trạm thu phí trên 5 đoạn tuyến cao tốc trên sẽ thực hiện thu phí điện tử không dừng (ETC) với số tiền tính theo số km xe lăn bánh thực tế.

antd-cao-toc-phan-thiet-dau-giay.jpg
Cao tốc Phan Thiết-Dầu Giây có mức thu từ 1.300 đồng/km/CPU vì đã hoàn thiện 4 làn xe, có làn dừng khẩn cấp

Mức phí trên 5 đoạn tuyến cao tốc do Nhà nước đầu tư từ 900 - 1.300 đồng/km, thấp hơn mức thu phí của các tuyến đường cao tốc đầu tư theo hợp đồng BOT đang thu phí với mức bình quân 1.721 đồng/PCU/km.

Để có cơ sở triển khai thu phí sử dụng đường cao tốc sau khi các tuyến, đoạn tuyến cao tốc đáp ứng các điều kiện nghị định số 130/2024/NĐ-CP của Chính phủ quy định về thu phí sử dụng đường bộ cao tốc đối với phương tiện lưu thông trên tuyến đường bộ cao tốc thuộc sở hữu toàn dân do Nhà nước đại diện chủ sở hữu và trực tiếp quản lý, khai thác, Cục Đường bộ đề nghị Bộ Xây dựng:

Chấp thuận, phê duyệt mức thu phí sử dụng đường bộ cao tốc đối với phương tiện lưu thông trên 5 đoạn tuyến đường cao tốc Mai Sơn - quốc lộ 45, quốc lộ 45 - Nghi Sơn, Nghi Sơn - Diễn Châu, Vĩnh Hảo - Phan Thiết, Phan Thiết - Dầu Giây.

Giao Cục Đường bộ Việt Nam căn cứ mức phí được phê duyệt, thực hiện công khai mức thu, phương thức thu, đối tượng nộp, miễn, giảm và văn bản quy định thu phí tại địa điểm thu và công khai trên trang/Cổng thông tin điện tử của tổ chức thu phí theo quy định của pháp luật phí, lệ phí.

Tin cùng chuyên mục