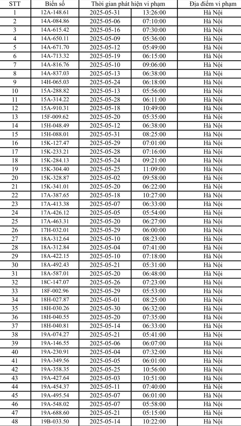
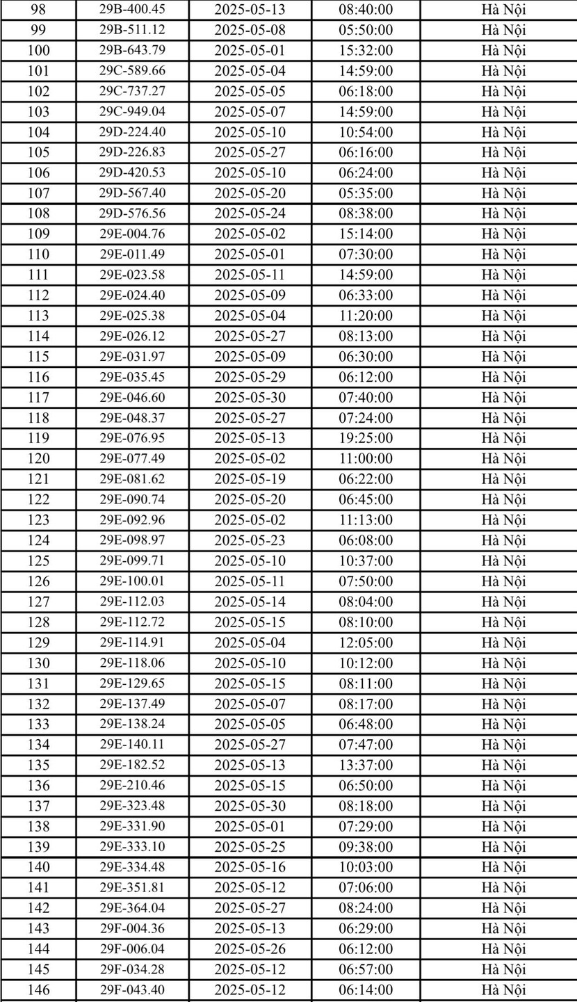
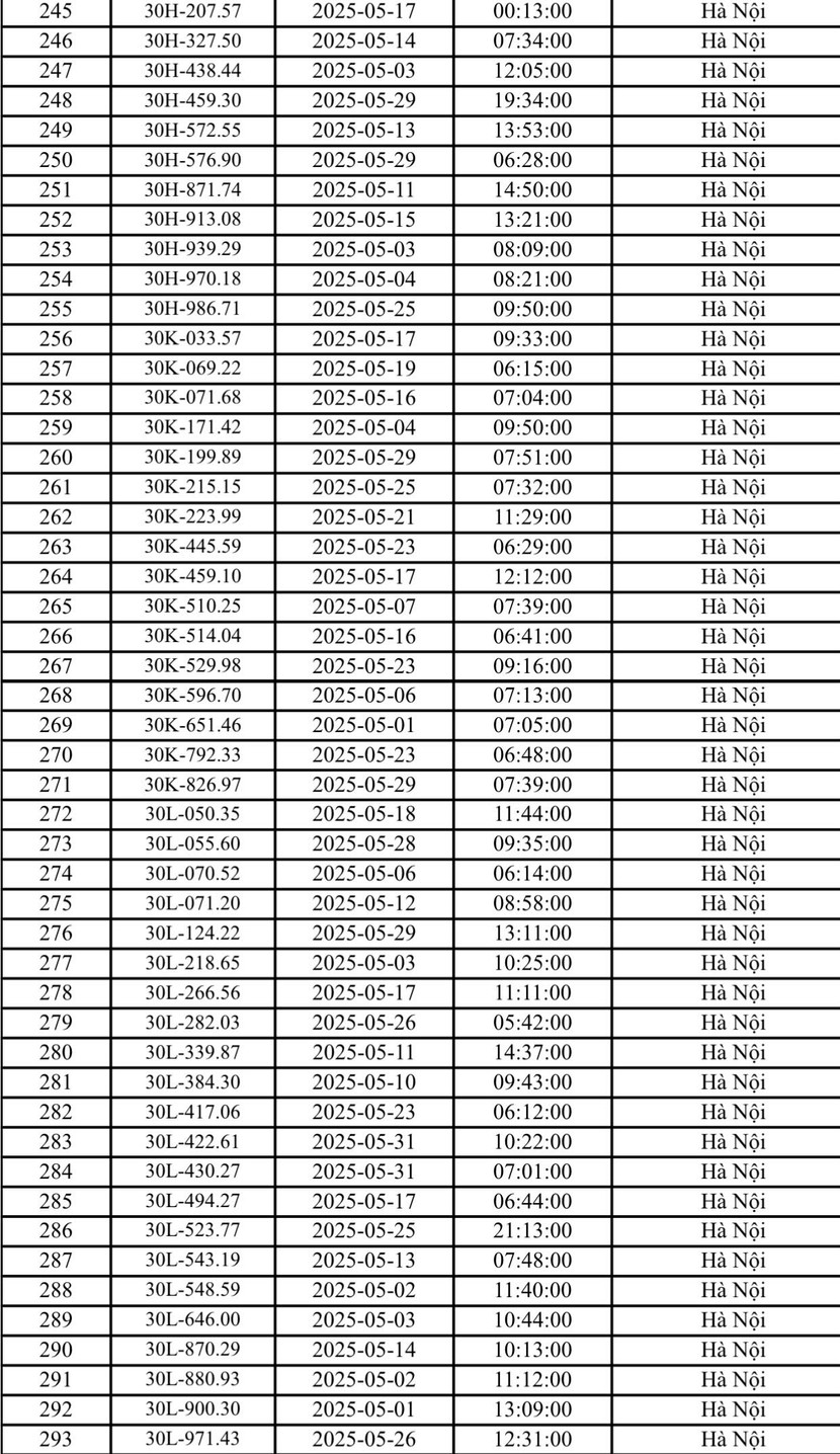
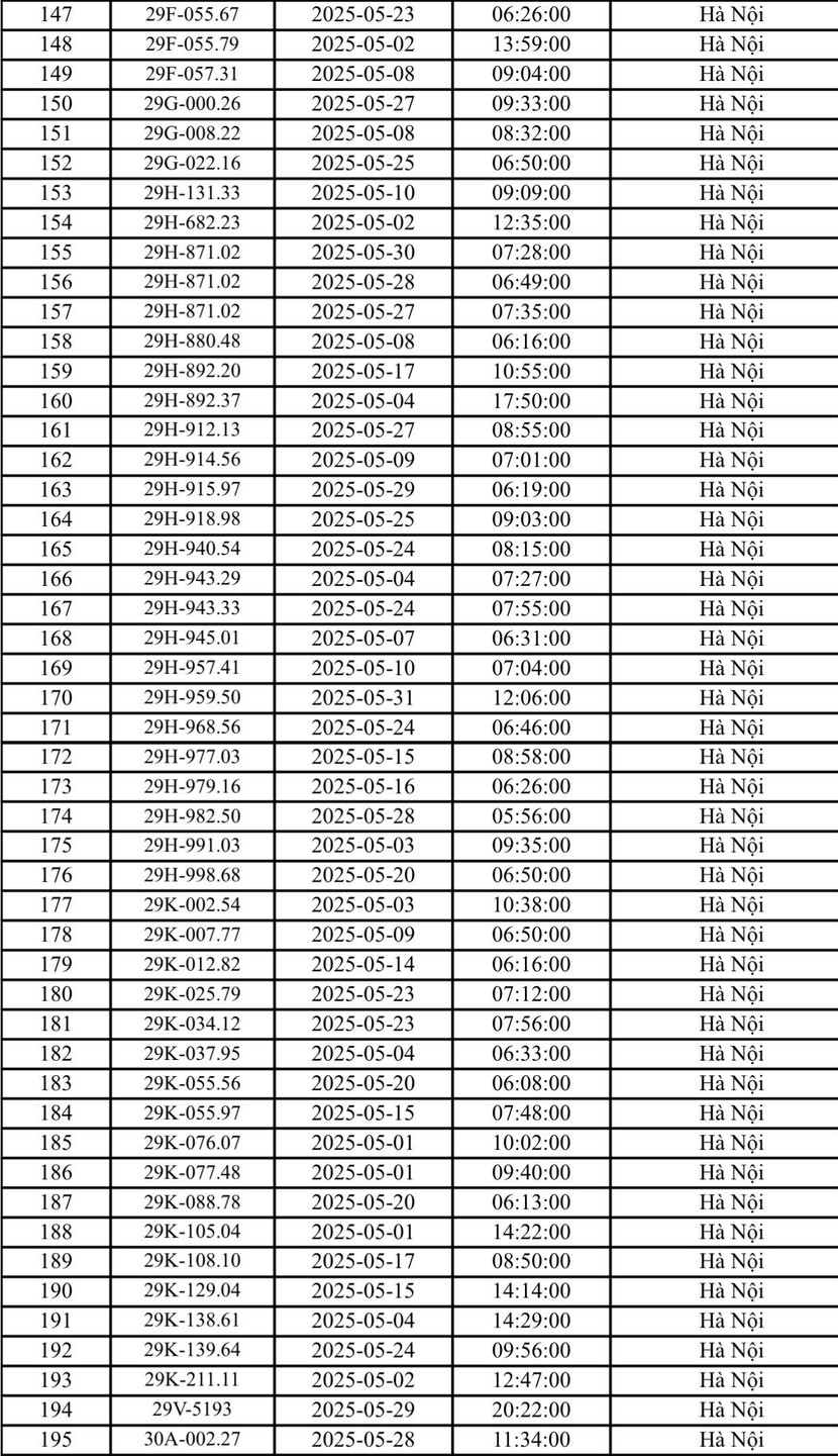
Danh sách 451 xe ô tô bị "phạt nguội" trong tháng 5 tại Hà Nội

ANTD.VN -  Phòng CSGT Công an thành phố Hà Nội vừa công bố danh sách 451 lượt ô tô vi phạm từ ngày 1 đến 31-5-2025 được ghi nhận qua camera giám sát trên các tuyến đường tại Hà Nội. Các lỗi vi phạm chủ yếu là vượt đèn đỏ, đi quá tốc độ...

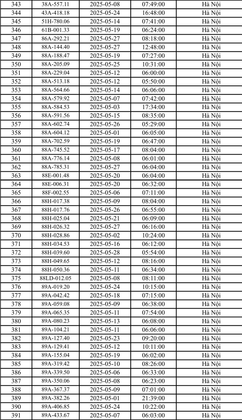
Dưới đây là danh sách 451 xe ô tô bị ghi hình "phạt nguội" trong tháng 5-2025 tại Hà Nội:

Tin cùng chuyên mục