Chiều 17-6, Sở GD-ĐT Hà Nội đã công bố đề thi chính thức kèm theo biểu điểm, đáp án các môn Kỳ thi tuyển sinh vào lớp 10 THPT công lập năm học 2021-2022.
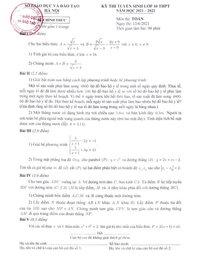
Đề thi, đáp án môn Toán:
![]() |
![]() |
![]() |
Đề thi, đáp án môn Ngữ văn:
|
Đáp án các môn trắc nghiệm xem TẠI ĐÂY




